Hello everyone. I used Vphot for years using a monochrome CCD camera. Now I am trying to leverage my small refractor (and the free time as I am retired) and a OSC camera (Touptek atr585c) to see if I can do againsome photometry. I captured frames, calibrated them, extracted the three color channel (Blue, Green and Red) converted everything to Fits and uploaded them to Vphot. The images are of 2 standard fields and the idea is to use the procedure explained in TG to get an idea of the transformation parameters for my system. I don’t know if this is even a sensible thing to do but before we get there, I noticed something very strange which I cannot explain. I have captured 7 color images at 3 different integration times (60s, 120s, and 180s) of NGC 7790. After calibration, extraction of channels and conversion to Fit (darn pixinsight insists in using Xisf…), I uploaded 21 files per each color (7 at 60s, 7 at 120s and 7 at 180s). Vphot recognizes them for what they are, plate solve them, and calls them TB, TR and TG. But, and here’s the strange thing, the 21 TG files I upoladed turn into 63 images in Vphot, that is, for each image of the green channel I upload, Vphot presents me with 3 images with the same info. B and R channels do no show this. I seems to have a hard time deleting images as well. I checked the Fit headers of the three channels and cannot find a reason for it. Any ideas?
Hi Marco:
Look at the fits headers for each image (TB,TG,TR) and see IF each image still includes a keyword for the Bayer array? If so, even if the image represents only one of the channels, VPhot thinks it is still an unseparated image and VPhot is running its own separation again. Thus you get 3 images from each already separated image that it has tried to separate incorrectly since they are already separated. The results will clearly be bonkers! Hope this makes a little sense?
Upload the unseparated color fits images and see what happens?
Ken
Hi Ken:‘nice to hear from you.
The fits headers of the individual channels do indeed still contain "BayerPat’ attribute. The array is RGGB. The fact that G appears twice may confuse Vphot. It does not confuse it with the B and R channels. I will try to upload the G channels with “bayerpat” removed and see if something changes. Question: if I upload the unseparated files (that is upload as RGB files) does Vphot separates them? That would same me a large amount of preocessing…
Yes, vphot will separate the color fits image. Try?
I just did. But there is a large backlog ahead of me (it is Saturday…) so I won’t know for a while.
I uploaded three files with the “BayerPat” attribute deleted and they plate solved and no extra files appeared. Vphot processed them as B, V, and R filter images (no Tg, Tb And Tr). They are still in the queue but now I see, out of my single RGB file (48Meg), there are 3 files separated as R, G, and B components (each 16 Meg). Will see how vphot will process them but that is a big saving in processing time. Thanks!
What are, in fact, the FILTER fits header values of the separate channel images you uploaded.
I amy have changed them by editing the fits headers. Regardless, Vphot processed the RBG fits with no issues. I got some data on ngc 7790 and M67, so now to understand what Tb, Tg and Rg are telling me. I need to read some more.
Allright. I imaged NGC 7790 over two nights (120, 150 and 180 s integration times). I calibrated and stacked a total of 16 images taken with a OSC camera and uploaded everything in Vphot. Vphot separated each channel and presented me with images labeled TG, TB and TR. At this point I followed the instruction provided in Transform Generator but I had to change the names of the filters from TG to V, from TB to B and from TR to R, otherwise TG would refuse to run. I uploaded the Results in my new telescope properties and, from what I used to do 4 years ago, when I upload new observations to Vphot and get instrumental magnitudes, I can use Transform Applier to convert to the Standard system. Is this correct? The TG parameters I obtained are fairly nice, with good line fits but, to be honest, I don’t know if the results are “sensible” or not. From my CCD days, I was expecting numbers either close to one if I was looking at Color Index coefficients or smaller (or zero) for filter band coefficients. I do get zero (and “small”) for the filter band coefficient but the Color Index are defnitely not 1. Here they are:
Tbv= 2.438
Tb_bv= 0.662
Tbr= 2.176
Tb_br= 0.427
Tv_bv= 0.003
Tvr= 1.903
Tv_vr= 0.017
Tr_vr= -0.352
[Error]
Tbv= 0.118
Tb_bv= 0.040
Tbr= 0.105
Tb_br= 0.026
Tv_bv= 0.077
Tvr= 0.152
Tv_vr= 0.139
Tr_vr= 0.066
[R Squared Values]
Tbv= 0.973
Tb_bv= 0.954
Tbr= 0.971
Tb_br= 0.953
Tv_bv= 0.000
Tvr= 0.939
Tv_vr= 0.001
Tr_vr= 0.627
Comments? Thanks! Marco
Marco:
All your comments about operation make sense. TA will work. Check that the filter names in the report are correct.
The coeffs look reasonable for a OSC bayer array. However, the errors are quite large. Do you deactivate TG data points beyond the ‘decreasing’ 2 sigma lines? Share a screenshot.
Ken
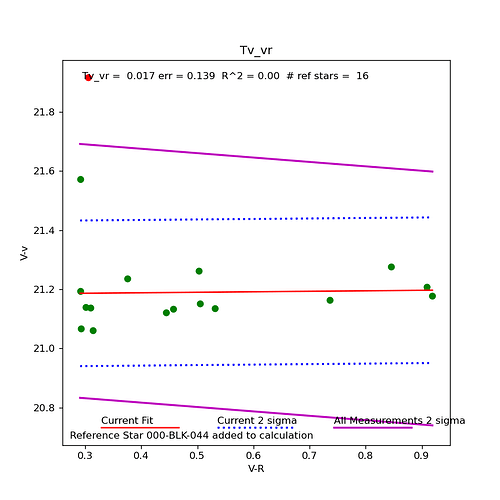
Once I get TG to run, I inspect the fit to the data and if there are points outside the 2 sigma lines I deselect them. Here the graph for a few of them. There is a large scatter. But keep in mind that I used to try this with a 17" ( a Planewave dall-kirkham with 17)scope and now I am using a 71mm refractor…Should I integrate for longer? My pixel scale is 1.22x1.22 arcsec/pixel.
Using only 15 comps is not ideal. One data point in Tv_vr should be removed.
Look into some of the Landolt fields and find one with as many comps as you can with good color range? You should be able to find a field with more than 15.
Ken
Marco,
For what it’s worth I believe the residuals are too large, i.e., there is too much scatter in the data. This comment is based on my experience over the years with TCs using a small aperture nearly the same as yours, although mine is a 200mm (focal length) camera lens set to f/2.8 or f/3.5, not a small refractor. What was the V mag range of the standard stars used?
Hello Ken:
I followed your step by step instructions you posted in August of 24 and, ind doing so, I got many more comp. The slopes don’t change much but the errors on those slopes are nowsmaller. here they are (the old ones are a cuople of post above this one).
bv= 2.587
Tb_bv= 0.678
Tbr= 2.161
Tb_br= 0.438
Tv_bv= 0.068
Tvr= 1.668
Tv_vr= 0.116
Tr_vr= -0.277
[Error]
Tbv= 0.071
Tb_bv= 0.011
Tbr= 0.039
Tb_br= 0.007
Tv_bv= 0.012
Tvr= 0.040
Tv_vr= 0.021
Tr_vr= 0.042
[R Squared Values]
Tbv= 0.973
Tb_bv= 0.985
Tbr= 0.988
Tb_br= 0.984
Tv_bv= 0.504
Tvr= 0.979
Tv_vr= 0.450
Tr_vr= 0.615
I may take a couple of more data sets and defocus just a shade, to se if I can reduce the errors a bit more.




