Do I understand right, that slow variability of V1130 Cyg in maximum means presence of O’Connell effect, and single (not binary) star would be classified as SR?
No, the O’Connell effect is the difference between maxima height. In this case there is a long-term spot cycle that is mentioned in the VSX entry as detected by Kepler.
There is no difference between maxima:
The VSX entry has been updated.
Thank you, Sebastian! The star is presented in O’Connell effect target list as KIC 4660997, so I tried to understand the reason. For example, for V461 Lyr (=KIC 6205460 in the List) TESS clear shows noted difference between maxima height:
I wouldn’t call that O’Connell effect either.
That is just the rotational modulation caused by spots and with synchronous rotation. If you subtract the eclipses you are left with a clean rotational wave.
That is not what the O’Connell effect looks like.
Cheers,
Sebastian
OK, Sebastian, thank you for the explanations! Would you please show an example of O’Connell effect star?
I checked some other ones from the Target List, but found nothing unusual:
KID 09091810 = KIC 9091810
V579 Lyr = KIC 7871200
V1580 Cyg = KIC 9101279
The second one in your post (V0579 Lyr) is a good example. One maximum is approx. 13.58V and the other one is 13.61.
Some other examples:
Thank you for the good examples, Sebastian! One can find some others in the MS Thesis Identifying The O’Connell Effect in Eclipsing Binary Stars (2024) - such as comparely bright KIC 12458797 with period less of 6 h (the star is presented in the Target List).
However, it’s a bit of strange, that Target List has just 1 O’Connell star from “my” 5 ![]()
Yes, the star is not faint, but amplitude is just about 0.1m ![]()
I checked some other brightest stars from the Target List (KIC 2161623, KIC 8703528, KIC 2305372) - and all of them do not show valuable O’Connell effect. The only exception is KIC 6471048, but even in this case the effect is quite modest.
So, as I understood, observations of O’Connell stars require serious equipment. It will be not bad to see maxima differences in the Target List.
I’m about to submit a paper to the JAAVSO on V372 Dra and it shows a variable O’Connell effect in TESS data. The attached PDF shows the difference between TESS Sector 60 and TESS Sector 82. The top plot shows how the difference in the maxima varies with time.
fig1.pdf (20.3 KB)
Thank you, Dirk! We’ll wait your paper with great impatience!
Indeed, TESS would be the best choice for these enigmatic binaries ![]()
Yes, even during 10 days variations of maxima difference are obvious. Is the reason in RS CVn variability or in other physics?
Most likely large-scale spot activity. You do have to be careful with TESS data. It was designed for high precision, not necessarily high photometric accuracy. There are all sorts of instrumental effects that you have to worry about. That doesn’t matter to the planet hunters. They just flatten out the variations and look for transits but you have to work a bit harder to separate instrumental effects from real stellar variations.
It seems, one of the brightest star with noticeable O’Connell effect is GV Leo (not presented in the Target List).
ChatGPT found top-ten of the brightest northern stars with O’Connell effect (OE):
For southern sky he/she recommends bRing Survey data.
There is comparely bright pair in the Owl’s claws, where one star has a bit of unusual eclipsing light curve. What is the type of this star? EA? EA+ELL? Does it belong to O’Connell family due to maximums variations?
The JD light curve suggests that maxima height varies a lot, not that there is one maximum that is always brighter than the other one (at least in the short term), so I think that spots are responsible and I wouldn’t call it O’COnnell effect.
A phase plot showing the whole cycle would help to see how each maximum varies.
We do not classify EAs with ellipsoidal variations or reflection as EA+ELL or EA+R. We inherited that from the past (just calling them EA) and it is something we might want to change for the future VSX. A huge number of EAs show some kind of ellipsoidal variability so it would be a herculian task to revise them all now…
But yes, there is a lot of ellipsoidal variability in this system.
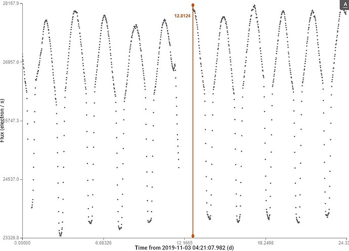
Variable O’Connell effect of V0968 Cep.
In opposite to NR Cam, the star belongs to EB type by VSX.
EA has in VSX modest name ASAS J191954+4339.2, but Kepler data reveals its very unusual maximums. What may be the reason of those variations and irregular teeth?

















